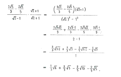
Solution 3.1:6c
From Förberedande kurs i matematik 1
(Difference between revisions)
m (Robot: Automated text replacement (-[[Bild: +[[Image:)) |
m (Lösning 3.1:6c moved to Solution 3.1:6c: Robot: moved page) |


