Lösning 2.1:1f
Aus Förberedande kurs i matematik 1
(Unterschied zwischen Versionen)
Lina (Diskussion | Beiträge)
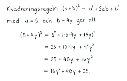
(Ny sida: {{NAVCONTENT_START}} <center> Bild:2_1_1f.gif </center> {{NAVCONTENT_STOP}})
Zum nächsten Versionsunterschied →

