Lösningar 13
Matematik för naturvetare 15hp
Lösningar till några övningar till lektion 12
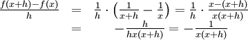
6.1.c)
Differenskvoten är
Detta ger
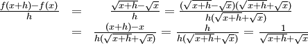
6.1. d)
Differenskvoten är
där vi använde knepet att förlänga med $\sqrt{x+h}+\sqrt x$. Alltså är
6.2.d)
Den här uppgiften är intressant på så sätt att man kan beräkna derivatan på två olika sätt. Antingen använder man produktregeln på båda termerna:
eller så använder man först trigonometriska ettan, som ger $f(x)=1$ för alla $x$. Alltså är $f'(x)=0$.
6.4.a)
Lägg först märke till att $\sin x^2$ skall tolkas som $\sin(x^2)$ och alltså {\it inte} som $(\sin x)^2$! Om vi sätter $u(v)=\sin v$ och $v(x)=x^2$, så är $f(x)=\sin x^2=u(v(x))$ och enligt kedjeregeln är
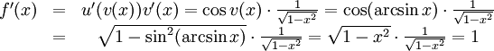
6.4.b)
Det enklaste sättet att räkna ut derivatan är förstås att observera att $f(x)=\sin(\arcsin x)=x$, så att $f'(x)=1$. men det går även bra att använda kedjeregeln. Sätt $u(v)=\sin v$ och $v(x)=\arcsin x$. Då är
(Det andra sättet är ju väsentligen härledningen av derivatan av arcussinus.)
6.5.b)
Derivatan är
så att
6.5.d)
Här måste man använda kedjeregeln. Sätt $u(v)=\ln |v|$ och $v(x)=\arctan x$, så att $f(x)=u(v(x))$. Då är
6.6.b)
Vi börjar med att förenkla: $\ln|xe^{2x}|=\ln(|x|\cdot |e^{2x}|)=\ln |x|+\ln e^{2x}=\ln |x|+2x$ (observera att $e^{2x}>0$ för alla $x$, så vi kan ta bort absolutbeloppstecknen). Derivatan är $1/x+2$ med ett enda nollställe $x=-1/2$.
6.6.c)
Kvotregeln ger
Nollställena är således $x=±1$.
6.6.d)
Sätt $u(v)=\arctan v$ och $v(x)=1-x^2$. Enligt kedjeregeln är derivatan
Det finns alltså ett enda nollställe, nämligen $x=0$.
6.7.
Vi börjar med att fundera över hur vinkeln mellan en linje $y=kx+m$ och $x$-axeln beror på konstanterna $k$ och $m$. Om $k=0$ så är linjen parallell med $x$-axeln och i så fall skär de varandra bara i fallet $m=0$ (i vilket fall de sammanfaller). Vinkeln är då 0. Antag att $k\not=0$ och beteckna skärningspunkten med $(a,0)$. Om $x$-koordinaten ökar med 1, så ökar $y$-koordinaten med $k$ (vilket är en minskning om $k<0$). I figuren nedan ser vi att $\tan\alpha =k/1=k$.
\begin{center}\includegraphics{Fig1dag13.jpg}\end{center}
\vskip 2mm
Riktningskoefficienten $k$ är lika med derivatan av $f$ för $x=2$, som är \[ f'(2)=3\cdot 3\cdot 2^2-3\cdot 2\cdot 2-25=-1.\] Vinkeln mellan tangenten och positiva $x$-axeln är således $3¹/4$, så den spetsiga vinkeln är $¹/4$.
\vskip 2mm
6.9. Enligt kedjeregeln är \[ f'(x)=\frac{1}{1+(x^2-4)^2}\cdot 2x,\quad\mbox{varför}\quad f'(2)=\frac{2\cdot 2}{1+0^2}=4.\] Eftersom $f(2)=\arctan(2^2-4)=0$ så är tangentens ekvation $y-0=4(x-2)$, dvs $y=4x-8$.
\vskip 2mm
6.11. Mellan kl 6 på morgonen och kl 6 på eftermiddagen har temperaturen ändrats med \begin{eqnarray*} T(18)-T(6)&=&12+6\sin\frac{¹(18-8)}{12}-12-6\sin\frac{¹(6-8)}{12}\\ &=& 6\sin\frac{5¹}{6}-6\sin\left(-\frac{¹}{6}\right)=3+3=6.\end{eqnarray*} Medeländringen är \[ \frac{T(18)-T(6)}{18-6}=\frac{6}{12}=\frac{1}{2}.\] Derivatan är \[ T'(t)=6\cdot\frac{¹}{12}\cos\left(\frac{¹(t-8)}{12}\right)= \frac{¹}{2}\cos\left(\frac{¹(t-8)}{12}\right).\] Förändringshastigheten kl 4 på morgonen är \[ T'(4)=\frac{¹}{2}\cos\left(\frac{¹(4-8)}{12}\right)= \frac{¹}{2}\cos\left(-\frac{¹}{3}\right)=\frac{¹}{4}.\] På samma sätt räknar man ut förändringshastigheten kl 8 på fm och 4 på em. Den är 0 då $¹(t-8)/12=±¹/2$, vilket ger $t=2$ eller $t=14$, dvs kl 2 på fm och em. Enheten är i alla fallen grader per timme.

