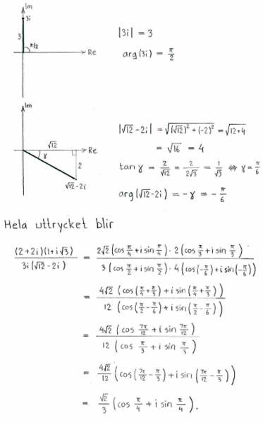
Bild:3 2 6f-2(2).gif
Sommarmatte 2
(Skillnad mellan versioner)
Nuvarande version
Bildhistorik
Beskrivning: (nuvarande) = detta är den nuvarande bilden,
(ta bort) = ta bort den gamla version, (återgå) = återgå till en gammal version.
Klicka på ett datum för att se bilden som laddades upp den dagen.
- (radera) (nuvarande) 19 juli 2007 kl. 13.04 . . KTH.SE:u1zpa8nw (Diskussion | bidrag) . . 420×675 (36 798 bytes)
- Redigera denna fil med hjälp av extern programvara
Se instruktioner för mer information.
Bildlänkar
Följande sidor länkar till denna bild:

