Välkommen till kursen
Hur går kursen till?
Examinationen
1. Numerisk räkning
1.1 Olika typer av tal
1.2 Bråkräkning
1.3 Potenser
2. Algebra
2.1 Algebraiska uttryck
2.2 Linjära uttryck
2.3 Andragradsuttryck
3. Rötter och logaritmer
3.1 Rötter
3.2 Rotekvationer
3.3 Logaritmer
3.4 Logaritmekvationer
4. Trigonometri
4.1 Vinklar och cirklar
4.2 Funktioner
4.3 Samband
4.4 Ekvationer
5. Skriva matematik
Suche
Warning:
jsMath
requires JavaScript to process the mathematics on this page.
If your browser supports JavaScript, be sure it is enabled.
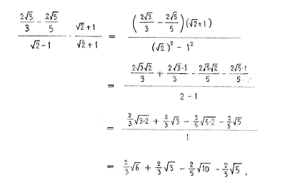
Lösning 3.1:6c
Aus Förberedande kurs i matematik 1
Wechseln zu:
Navigation
,
Suche