Solution 3.2:6b

From Förberedande kurs i matematik 2

Jump to: navigation, search

If we determine the number's magnitude \displaystyle r and argument \displaystyle \alpha , we can write its polar form using the formula

\displaystyle r(\cos\alpha + i\sin\alpha)\,\textrm{.}

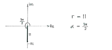
Because the number lies on the imaginary axis, it is possible to write its magnitude and argument directly.

The polar form is

\displaystyle 11\Bigl(\cos\frac{3\pi}{2} + i\sin\frac{3\pi}{2}\Bigr)\,\textrm{.}