Solution 3.2:6d
From Förberedande kurs i matematik 2
We can determine the number's magnitude directly using the distance formula,
| \displaystyle \begin{align}
\bigl|\sqrt{10}+\sqrt{30}i\bigr| &= \sqrt{\bigl(\sqrt{10}\,\bigr)^2+\bigl(\sqrt{30}\,\bigr)^2}\\[5pt] &= \sqrt{10+30}\\[5pt] &= \sqrt{40}\\[5pt] &= \sqrt{4\cdot 10}\\[5pt] &= 2\sqrt{10}\,\textrm{.} \end{align} |
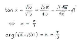
In addition, the number lies in the first quadrant and we can therefore determine the argument using simple trigonometry.
The polar form is
| \displaystyle 2\sqrt{10}\Bigl( \cos\frac{\pi}{3} + i\sin\frac{\pi}{3} \Bigr)\,\textrm{.} |


