Solution 3.2:6f

From Förberedande kurs i matematik 2

Jump to: navigation, search

We can write every factor in the numerator and denominator in polar form and then use the arithmetical rules for multiplication and division in polar form:

  • \displaystyle r_1(\cos\alpha + i\sin\alpha)\cdot r_2(\cos\beta + i\sin\beta) = r_1r_2\bigl(\cos(\alpha+\beta)+i\sin(\alpha+\beta)\bigr)\,,
  • \displaystyle \frac{r_1(\cos\alpha + i\sin\alpha)}{r_2(\cos\beta + i\sin\beta)} = \frac{r_1}{r_2}\bigl(\cos(\alpha-\beta) + i\sin (\alpha-\beta)\bigr)\,\textrm{.}

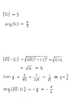
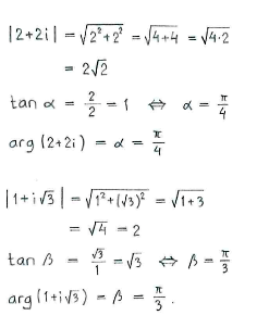
In fact, most of the work consists of writing all the factors in polar form:

Image:3_2_6_f1_bild.gif Image:3_2_6_f1_bildtext.gif
Image:3_2_6_f2_bild.gif Image:3_2_6_f2_bildtext.gif

The whole expression becomes

\displaystyle \begin{align}

\frac{(2+2i)(1+i\sqrt{3}\,)}{3i(\sqrt{12}-2i)} &= \frac{2\sqrt{2}\Bigl(\cos\dfrac{\pi}{4}+i\sin\dfrac{\pi}{4}\Bigr)\cdot 2\Bigl( \cos\dfrac{\pi}{3}+i\sin\dfrac{\pi}{3}\Bigr)}{3\Bigl(\cos\dfrac{\pi}{2}+i\sin \dfrac{\pi}{2}\Bigr)\cdot 4\Bigl(\cos\Bigl(-\dfrac{\pi}{6}\Bigr)+i\sin\Bigl(-\dfrac{\pi}{6}\Bigr)\Bigr)}\\[5pt] &= \frac{4\sqrt{2}\Bigl(\cos\Bigl(\dfrac{\pi}{4}+\dfrac{\pi}{3}\Bigr) + i\sin\Bigl( \dfrac{\pi}{4}+\dfrac{\pi}{3}\Bigr)\Bigr)}{12\Bigl(\cos\Bigl(\dfrac{\pi}{2}-\dfrac{\pi}{6}\Bigr)+i\sin\Bigl(\dfrac{\pi}{2}-\dfrac{\pi}{6}\Bigr)\Bigr)}\\[5pt] &= \frac{4\sqrt{2}\Bigl(\cos\dfrac{7\pi}{12}+i\sin\dfrac{7\pi}{12}\Bigr)}{12\Bigl(\cos\dfrac{\pi}{3}+i\sin\dfrac{\pi}{3}\Bigr)}\\[5pt] &= \frac{4\sqrt{2}}{12}\Bigl(\cos\Bigl(\frac{7\pi}{12}-\frac{\pi}{3}\Bigr) + i\sin \Bigl(\frac{7\pi}{12}-\frac{\pi}{3}\Bigr)\Bigr)\\[5pt] &= \frac{\sqrt{2}}{3}\Bigl(\cos\frac{\pi}{4} + i\sin\frac{\pi}{4}\Bigr)\,\textrm{.} \end{align}