Solution 3.3:1a

From Förberedande kurs i matematik 2

Jump to: navigation, search

Powers are repeated multiplications and because multiplication is a relatively simple arithmetical operation when it is carried out in polar form, calculating powers also becomes fairly simple in polar form,

\displaystyle \bigl(r(\cos\alpha + i\sin\alpha)\bigr)^n = r^n(\cos n\alpha + i\sin n\alpha)\,\textrm{.}

The equation above is called de Moivre's formula.

The plan is therefore to rewrite \displaystyle 1+i in polar form, raise the expression to the power \displaystyle 12 using de Moivre's formula and then to write the answer in the form \displaystyle a+ib.

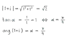
Image:3_3_1_a1.gif Image:3_3_1_a_text.gif

Using the calculations above, we see that

\displaystyle 1+i = \sqrt{2}\Bigl(\cos\frac{\pi}{4} + i\sin\frac{\pi}{4} \Bigr)\,\textrm{.}

De Moivre's formula now gives

\displaystyle \begin{align}

(1+i)^{12} &= \bigl(\sqrt{2}\,\bigr)^{12}\Bigl(\cos \Bigl(12\cdot\frac{\pi}{4}\Bigr) + i\sin \Bigl(12\cdot\frac{\pi}{4}\Bigr)\Bigr)\\[5pt] &= 2^{(1/2)\cdot 12}\Bigl(\cos 3\pi + i\sin 3\pi\Bigr)\\[5pt] &= 2^6(-1+i\cdot 0)\\[5pt] &= 64\cdot (-1)\\[5pt] &= -64\,\textrm{.} \end{align}