Solution 3.3:1c

From Förberedande kurs i matematik 2

Jump to: navigation, search

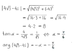
The calculation follows a fairly set pattern. We write the number \displaystyle 4\sqrt{3}-4i in polar form and then use de Moivre's formula.

Image:3_3_1_c.gif Image:3_3_1_c_text.gif

This gives

\displaystyle 4\sqrt{3}-4i = 8\Bigl(\cos\Bigl(-\frac{\pi}{6}\Bigr) + i\sin\Bigl(-\frac{\pi}{6}\Bigr)\Bigr)

and then we get, on using de Moivre's formula,

\displaystyle \begin{align}

\bigl(4\sqrt{3}-4i\bigr)^{22} &= 8^{22}\Bigl(\cos\Bigl(22\cdot\Bigl(-\frac{\pi}{6}\Bigr)\Bigr) + i\sin\Bigl(22\cdot\Bigl(-\frac{\pi}{6}\Bigr)\Bigr)\Bigr)\\[5pt] &= \bigl(2^3\bigr)^{22}\Bigl(\cos\Bigl(-\frac{11\pi}{3}\Bigr) + i\sin\Bigl(-\frac{11\pi}{3}\Bigr)\Bigr)\\[5pt] &= 2^{3\cdot 22}\Bigl(\cos\Bigl(-\frac{12\pi -\pi }{3}\Bigr) + i\sin\Bigl(-\frac{12\pi -\pi}{3}\Bigr)\Bigr)\\[5pt] &= 2^{66}\Bigl(\cos\Bigl(-4\pi+\frac{\pi}{3}\Bigr) + i\sin\Bigl(-4\pi+\frac{\pi}{3} \Bigr)\Bigr)\\[5pt] &= 2^{66}\Bigl(\cos\frac{\pi}{3} + i\sin\frac{\pi}{3}\Bigr)\\[5pt] &= 2^{66}\Bigl(\frac{1}{2} + i\frac{\sqrt{3}}{2}\Bigr)\\[5pt] &= 2^{65}(1+i\sqrt{3}\,)\,\textrm{.} \end{align}