Solution 3.3:1d
From Förberedande kurs i matematik 2
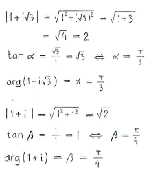
Because we are going to raise something to the power 12, the base in the expression should be written in polar form. In turn, the base consists of a quotient which is advantageous to calculate in polar form. Thus, it seems appropriate to write \displaystyle 1+i\sqrt{3} and \displaystyle \text{1}+i in polar form right from the beginning and to carry out all calculations in polar form.

We obtain
| \displaystyle \begin{align}
1+i\sqrt{3} &= 2\Bigl(\cos\frac{\pi}{3} + i\sin\frac{\pi}{3}\Bigr)\\[5pt] 1+i &= \sqrt{2}\Bigl(\cos\frac{\pi}{4} + i\sin\frac{\pi}{4}\Bigr) \end{align} |
and
| \displaystyle \begin{align}
\frac{1+i\sqrt{3}}{1+i} &= \frac{2\Bigl(\cos\dfrac{\pi}{3} + i\sin\dfrac{\pi}{3}\Bigr)}{\sqrt{2}\Bigl(\cos\dfrac{\pi}{4} + i\sin\dfrac{\pi}{4}\Bigr)}\\[5pt] &= \frac{2}{\sqrt{2}}\Bigl(\cos\Bigl(\frac{\pi}{3}-\frac{\pi}{4}\Bigr) + i\sin\Bigl(\frac{\pi}{3}-\frac{\pi}{4}\Bigr)\Bigr)\\[5pt] &= \sqrt{2}\Bigl(\cos\frac{\pi}{12} + i\sin\frac{\pi}{12}\Bigr)\,\textrm{.} \end{align} |
Finally, de Moivre's formula gives
| \displaystyle \begin{align}
\Bigl(\frac{1+i\sqrt{3}}{1+i}\Bigr)^{12} &= \bigl(\sqrt{2}\,\bigr)^{12}\Bigl(\cos\Bigl(12\cdot\frac{\pi}{12}\Bigr) + i\sin\Bigl(12\cdot\frac{\pi}{12}\Bigr)\Bigr)\\[5pt] &= 2^{(1/2)\cdot 12}(\cos\pi + i\sin\pi)\\[5pt] &= 2^6\cdot (-1+i\cdot 0)\\[5pt] &= -64\,\textrm{.} \end{align} |
