Solution 3.3:1e

From Förberedande kurs i matematik 2

Jump to: navigation, search

Some parts of the quotient have rather high exponents and this indicates that we ought to use polar form for the calculation.

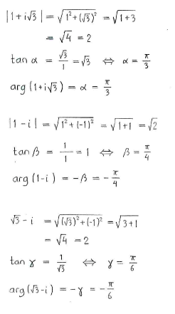
First, we write \displaystyle 1+i\sqrt{3}, \displaystyle 1-i and \displaystyle \sqrt{3}-i in polar form.

Image:3_3_1_e.gif Image:3_3_1_e_text.gif

This shows that

\displaystyle \begin{align}

1+i\sqrt{3} &= 2\Bigl(\cos\frac{\pi}{3} + i\sin\frac{\pi}{3}\Bigr)\,,\\[5pt] 1-i &= \sqrt{2}\Bigl(\cos\Bigl(-\frac{\pi}{4}\Bigr) + i\sin\Bigl(-\frac{\pi}{4}\Bigr)\Bigr)\,,\\[5pt] \sqrt{3}-i &= 2\Bigl(\cos\Bigl(-\frac{\pi}{6}\Bigr) + i\sin\Bigl(-\frac{\pi}{6}\Bigr)\Bigr)\,\textrm{.} \end{align}

Now, with the help of de Moivre's formula,

\displaystyle \begin{align}

\frac{\bigl(1+i\sqrt{3}\,\bigr)(1-i)^8}{\bigl(\sqrt{3}-i\bigr)^9} &= \frac{2\Bigl(\cos\dfrac{\pi}{3} + i\sin\dfrac{\pi}{3}\Bigr)\Bigl(\sqrt{2}\Bigl(\cos\Bigl(-\dfrac{\pi}{4}\Bigr) + i\sin\Bigl(-\dfrac{\pi}{4}\Bigr)\Bigr)\Bigr)^8}{\Bigl( 2\Bigl(\cos\Bigl(-\dfrac{\pi}{6}\Bigr) + i\sin\Bigl(-\dfrac{\pi}{6}\Bigr)\Bigr)\Bigr)^9}\\[5pt] &= \frac{2\Bigl(\cos\dfrac{\pi}{3} + i\sin\dfrac{\pi}{3}\Bigr)\bigl(\sqrt{2}\,\bigr)^8\Bigl(\cos\Bigl(8\cdot\Bigl(-\dfrac{\pi}{4}\Bigr)\Bigr) + i\sin\Bigl(8\cdot\Bigl(-\dfrac{\pi}{4}\Bigr)\Bigr)\Bigr)}{2^{9}\Bigl(\cos\Bigl(9\cdot\Bigl(-\dfrac{\pi}{6}\Bigr)\Bigr) + i\sin\Bigl(9\cdot\Bigl(-\dfrac{\pi}{6}\Bigr)\Bigr)\Bigr)}\\[5pt] &= \frac{2\Bigl(\cos\dfrac{\pi}{3} + i\sin\dfrac{\pi}{3}\Bigr)\cdot 2^{(1/2)\cdot 8}\bigl(\cos (-2\pi) + i\sin (-2\pi)\bigr)}{2^9\Bigl(\cos\Bigl(-\dfrac{3\pi}{2} \Bigr) + i\sin\Bigl(-\dfrac{3\pi}{2}\Bigr)\Bigr)}\\[5pt] &= \frac{2\Bigl(\cos\dfrac{\pi}{3} + i\sin\dfrac{\pi}{3}\Bigr)\cdot 2^4( 1+i\cdot 0)}{2^9\Bigl(\cos\Bigl(-\dfrac{3\pi}{2}\Bigr) + i\sin\Bigl(-\dfrac{3\pi}{2}\Bigr)\Bigr)}\\[5pt] &= \frac{2\cdot 2^4}{2^9}\Bigl(\cos\Bigl(\frac{\pi}{3}-\Bigl(-\frac{3\pi}{2}\Bigr) \Bigr) + i\sin\Bigl(\frac{\pi}{3}-\Bigl(-\frac{3\pi}{2}\Bigr)\Bigr)\Bigr)\\[5pt] &= \frac{2^5}{2^9}\Bigl(\cos\Bigl(\frac{\pi}{3}+\frac{3\pi}{2}\Bigr) + i\sin\Bigl(\frac{\pi}{3}+\frac{3\pi}{2}\Bigr)\Bigr)\\[5pt] &= \frac{1}{2^4}\Bigl(\cos\frac{11\pi}{6} + i\sin\frac{11\pi}{6}\Bigr)\\[5pt] &= \frac{1}{16}\Bigl(\cos\frac{12\pi-\pi}{6} + i\sin\frac{12\pi-\pi}{6}\Bigr)\\[5pt] &= \frac{1}{16}\Bigl(\cos\Bigl(2\pi-\frac{\pi}{6}\Bigr) + i\sin\Bigl(2\pi-\frac{\pi}{6}\Bigr)\Bigr)\\[5pt] &= \frac{1}{16}\Bigl(\cos\Bigl(-\frac{\pi}{6}\Bigr) + i\sin\Bigl(-\frac{\pi}{6}\Bigr)\Bigr)\\[5pt] &= \frac{1}{16}\Bigl(\frac{\sqrt{3}}{2}-\frac{i}{2}\Bigr)\\[5pt] &= \frac{1}{32}\bigl(\sqrt{3}-i\bigr)\,\textrm{.} \end{align}