Solution 3.3:1b

From Förberedande kurs i matematik 2

Jump to: navigation, search

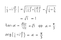
First, we write the number \displaystyle \frac{1}{2}+i\frac{\sqrt{3}}{2} in polar form.

Image:3_3_1_b.gif Image:3_3_1_b_text.gif

Thus,

\displaystyle \frac{1}{2}+i\frac{\sqrt{3}}{2} = 1\cdot \Bigl(\cos\frac{\pi}{3} + i\sin\frac{\pi}{3}\Bigr)

and de Moivre's formula gives

\displaystyle \begin{align}

\Bigl(\frac{1}{2}+i\frac{\sqrt{3}}{2}\Bigr)^{12} &= 1^{12}\cdot\Bigl(\cos\Bigl(12\cdot\frac{\pi}{3}\Bigr) + i\sin\Bigl(12\cdot\frac{\pi}{3}\Bigr)\Bigr)\\[5pt] &= 1\cdot (\cos 4\pi + i\sin 4\pi)\\[5pt] &= 1\cdot (1+i\cdot 0)\\[5pt] &= 1\,\textrm{.} \end{align}