Lösningar 10
Matematik för naturvetare 15hp
[redigera] Lösningar till några övningar till lektion 10
Oftast kan man beräkna en determinant på många olika sätt och det finns inget sätt som är mer "rätt" än något annat, men en del metoder ger mindre arbete än andra.
14.14 a)
Definitionen av $2\times 2$-determinat ger direkt $$ \left|\begin{array}{cc} 1 & 4\\ 3 & 7\end{array}\right|=1\cdot 7-4\cdot 3=-5$$
14.14 c)
Enligt egenskap 3 hos determinanter ändras inte värdet om vi adderar rad 2 och 3 till rad 1, så $$ \left|\begin{array}{ccc} 1 & 2 & 2 \\ 2 & 1 & 2 \\ 2 & 2 & 1\end{array}\right|= \left|\begin{array}{ccc} 5 & 5 & 5 \\ 2 & 1 & 2 \\ 2 & 2 & 1\end{array}\right|= 5\left|\begin{array}{ccc} 1 & 1 & 1 \\ 2 & 1 & 2 \\ 2 & 2 & 1\end{array}\right|$$
där den andra likheten följer av egenskap 2. Subtrahera 2 gånger rad 1 från rad 2 och rad 3:
$$ 5\left|\begin{array}{ccc} 1 & 1 & 1 \\ 2 & 1 & 2 \\ 2 & 2 & 1\end{array}\right|= 5\left|\begin{array}{ccc} 1 & 1 & 1 \\ 0 & -1 & 0 \\ 0 & 0 & -1\end{array}\right|$$
Addera rad 2 och 3 till rad 1:
$$ 5\left|\begin{array}{ccc} 1 & 1 & 1 \\ 0 & -1 & 0 \\ 0 & 0 & -1\end{array}\right|= 5\left|\begin{array}{ccc} 1 & 0 & 0 \\ 0 & -1 & 0 \\ 0 & 0 & -1\end{array}\right|=5$$
14.14 e)
Subtrahera rad 4 från rad 2 och 3 och 2 gånger rad 4 från rad 1:
$$ \left|\begin{array}{cccc} 2 & 3 & 1 & -1 \\ 1 & 2 & -1 & 1 \\ 1 & 1 & 2 & -1 \\ 1 & 1 & 1 & 2\end{array}\right|= \left|\begin{array}{cccc} 0 & 1 & -1 & -5 \\ 0 & 1 & -2 & -1 \\ 0 & 0 & 1 & -3 \\ 1 & 1 & 1 & 2\end{array}\right|$$
Utveckling längs första kolonnen ger
$$ \left|\begin{array}{cccc} 0 & 1 & -1 & -5 \\ 0 & 1 & -2 & -1 \\ 0 & 0 & 1 & -3 \\ 1 & 1 & 1 & 2\end{array}\right|=-\left|\begin{array}{ccc} 1 & -1 & -5 \\ 1 & -2 & -1 \\ 0 & 1 & -3\end{array}\right|$$
Subtrahera rad 1 från rad 2:
$$ -\left|\begin{array}{ccc} 1 & -1 & -5 \\ 1 & -2 & -1 \\ 0 & 1 & -3\end{array}\right|= -\left|\begin{array}{ccc} 1 & -1 & -5 \\ 0 & -1 & 4 \\ 0 & 1 & -3\end{array}\right|$$
Utveckla längs första kolonnen:
$$ -\left|\begin{array}{ccc} 1 & -1 & -5 \\ 0 & -1 & 4 \\ 0 & 1 & -3\end{array}\right|= -\left|\begin{array}{cc} -1 & 4 \\ 1 & -3\end{array}\right|= -((-1)\cdot (-3)-4\cdot 1)=1$$
Svaret är således $1$.
14.14 f)
Tips: Börja med att addera rad 2, 3 och 4 till rad 1.
14.15 a)
Den karaktäristiska ekvationen, dvs $\det (A-\lambda E)=0$, är
$$ \left|\begin{array}{cc} 1-\lambda & -2 \\ -5 & 4-\lambda\end{array}\right|=0$$
Utveckling av determinanten ger
$$ (1-\lambda)(4-\lambda)-(-2)(-5)=0\quad\mbox{eller}\quad \lambda^2-5\lambda -6=0$$
Lösningarna, dvs egenvärdena till matrisen, är $\lambda_{1}=-1$ och $\lambda_{2}=6$. För att bestämma egenvektorerna måste vi lösa systemen $AX=\lambda X$ för de två egenvärdena.
$\mathbf{\lambda_{1}=-1}$:
Här får vi
$$ \left\{\begin{array}{cccccccc} x & - & 2y & = & -x\\ -5x & + & 4y & = & -y\end{array}\right. \quad\mbox{eller}\quad \left\{\begin{array}{cccccccc} 2x & - & 2y & = & 0\\ -5x & + & 5y & = & 0\end{array}\right.$$
Båda ekvationerna är ekvivalenta med $x=y$, så egenvektorerna är
$t(1,1)$ för $t\in{\bf R}$, $t\not=0$.
$\mathbf{\lambda_{1}=6}$:
Här får vi
Om vi inför parametern $t$ genom $y=5t$ så blir $x=-2y/5=-2t$. Egenvektorerna är således $t(-2,5)$ för $t\in{\bf R}$, $t\not=0$.
14.15 d)
Den karaktäristiska ekvationen är
Utveckling av determinanten ger ekvationen
− λ3 + 9λ2 + 9λ − 81 = − (λ3 − 9λ2 − 9λ + 81) = 0
Här kan man manipulera ekvationen så här:
λ3 − 9λ2 − 9λ + 81 = λ2(λ − 9) − 9(λ − 9) = (λ − 9)(λ2 − 9) = (λ − 9)(λ + 3)(λ − 3)
Rötterna är tydligen $±3$ och 9 (gissning enligt receptet ovan går förstås bra också).
$\mathbf{\lambda=3}$:
Systemet $AX=\lambda X$ blir
Om man sätter $z=t$ så blir $y=z=t$ och $x=-y+2z=t$. Egenvektorerna är $t(1,1,1)$ för $t\in{\bf R}$, $t\not=0$.
$\mathbf{\lambda=-3}$:
Systemet $AX=\lambda X$ blir
Egenvektorerna är $t(0,1,-1)$ för $t\in{\bf R}$, $t\not=0$.
$\mathbf{\lambda=9}$:
Systemet $AX=\lambda X$ blir
Egenvektorerna är $t(-2 ,1,1)$ för $t\in{\bf R}$, $t\not=0$.
14.15 e)
Den karaktäristiska ekvationen är
Rötterna måste gå jämnt upp i 5, så de enda möjligheterna är $±1$
och $±5$. Prövning ger att de är 1 och 5 (det finns alltså bara 2
olika rötter).
$\mathbf{\lambda =1}$:
Systemet $AX=\lambda X$ blir
Här måste vi införa två parametrar, t ex genom $y=s,z=t$. Då blir $x=-2y-z=-2s-t$, så att egenvektorerna kan skrivas $(-2s-t,s,t)=s(-2,1,0)+t(-1,0,1)$ för $s,t\in{\bf R}$, $s,t$ ej båda 0.
$\mathbf{\lambda =5}$:
Systemet $AX=\lambda X$ blir
Egenvektorerna är $t(1,1,1)$ för $t\in{\bf R}$, $t\not=0$.
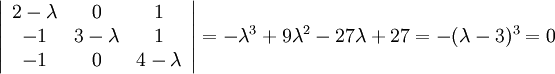
14.15 f)
Den karaktäristiska ekvationen är
Här finns det tydligen bara en rot, så det enda egenvärdet är $\lambda =3$ (om man inte omedelbart ser att ekvationen kan skrivas $-(\lambda-3)^3=0$ så kan man förstås gissa rötter som ovan). Systemet $AX=\lambda X$ blir
Här kan vi införa parametrar genom t ex $y=s,z=t$ och egenvektorerna blir $(t,s,t)=s(0,1,0)+t(1,0,1)$, där inte både $s$ och $t$ är 0.
14.16.
Den karaktäristiska ekvationen är
Alltså är $a-\lambda=±b$ och egenvärdena är $\lambda=a±b$. Om $b=0$ så finns det alltså bara ett egenvärde. Systemet $AX=\lambda X$ blir bara $ax=ax$ och $ay=ay$, dvs alla $X\not=0$ är egenvektorer. Man kan skriva dem $s(1,0)+t(0,1)$ om man vill. Antag nu att $b\not=0$.
$\mathbf{\lambda=a-b}$:
Systemet $AX=\lambda X$ blir
Egenvektorerna är $t(1,-1)$.
$\mathbf{\lambda=a+b}$:
Systemet $AX=\lambda X$ blir
Egenvektorerna är $t(1,1)$.
14.17.b)
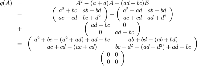
Enligt definitionen av karaktäristiskt polynom är
(Lägg märke till att $ad-bc$ är $\det A$. Talet $a+d$ kallas spåret av $A$.) Alltså är
14.21.b)
Direkt uträkning ger
så att $A^3X=2X$ för alla $X$. Det här innebär att populationen fördubblas efter 3 år.
14.21.c)
Antag att $X_{0}$ vore ett sådant startvärde, dvs $AX_{0}=X_{0}$. Detta ger $A^3X_{0}=X_{0}$, men enligt b) har vi $A^3X_{0}=2X_{0}$. Detta är en motsägelse, så svaret är nej.
14.22.
Låt den stabila populationen vara $X_{0}$, så att $AX_{0}=X_{0}$. Om
så blir systemet $AX_{0}=X_{0}$
Alltså är $X_{0}=t(25,5,1)$ för $t\in{\bf R}$, $t\not=0$. Proportionerna är således $25:5:1$.
14.23.
Enligt övning 14.16 är egenvärdena $0,6±0,4$, dvs 1 och $0,2$. Motsvarande egenvektorer är $t(1,1)$ och $t(1,-1)$. Startvärdet som gör systemet stabilt är $X_{0}=t(1,1)$ och förhållandet mellan sjuka och friska är $1:1$.
14.25.a)
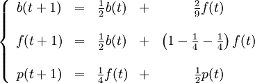
Låt $b(t)$, $f(t)$ och $p(t)$ beteckna antalet barn, förvärvsarbetande respektive pensionärer efter $t$ tioårsperioder. Enligt texten är
så att övergångsmatrisen är
14.25.b)
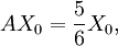
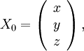
Vi har $b(0)=62208$, $f(0)=93312$ och $p(0)=69984$. Sätter man
så kontrollerar man omedelbart att
dvs att $X_{0}$ är en egenvektor till $A$ med egenvärde $5/6$. Alltså är
vilket ger att den totala befolkningen efter 50 år är

