Lösningar 11
Matematik för naturvetare 15hp
[redigera] Lösningar till några övningar till lektion 11
5.1.
Här är det bara att sätta in de olika värdena på $x$ eftersom inga nämnare blir 0.
5.2. a)
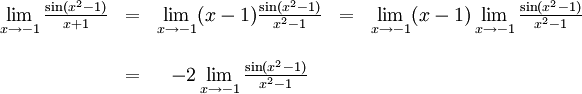
Börja med att förlänga med $x-1$:
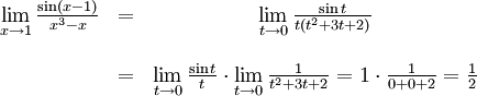
Sätt $t=x^2-1$; då gäller $t\to 0$ då $x\to -1$. Alltså är
Det sökta gränsvärdet är således $-2$.
5.2. b)
Sätt $x=0$.
5.2. c)
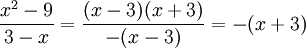
Eftersom $x^2-9=(x-3)(x+3)$ så är
för $x\not=3$. Alltså är
5.2. d)
Både täljare och nämnare är 0 för $x=-2$ och enligt faktorsatsen är de delbara med $x-(-2)=x+2$. Division ger $x^2+x-2=(x+2)(x-1)$ och $x^2-4=(x+2)(x-2)$. Alltså är
5.2. e)
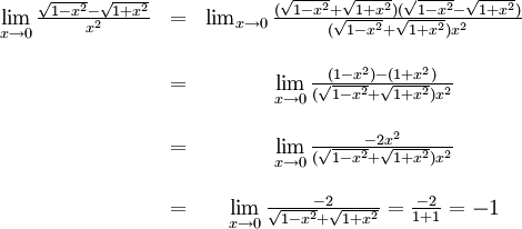
Här är knepet att förlänga med $\sqrt{1-x^2}+\sqrt{1+x^2}$:
5.2 f)
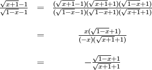
Förläng med $\sqrt x+1$:
5.3. a)
Eftersom $|\sin x^2|\le 1$ så är gränsvärdet 0.
5.3 b)
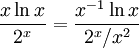
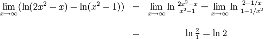
Skriv $\ln x^2=2\ln x$ och använd ett standardgränsvärde.
5.3 c)
Standardgränsvärde.
5.3 d)
Sätt $x=-t$. Då har vi $t\to\infty$ då $x\to-\infty$, så gränsvärdet är
enligt ett standardgränsvärde.
5.3 e)
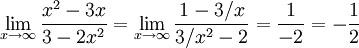
Dividera täljare och nämnare med $x^2$:
5.3 f)
Dividera täljare och nämnare med $x^3$.
5.4. a)
Här kan man t ex sätta $t=x-1$, så att $t\to 0$ då $x\to 1$. Vi har $x^3-x=(t+1)^3-(t+1)=t^3+3t^2+2t=t(t^2+3t+2)$, så
5.4 b)
5.4 c)
Nämnaren, men inte täljaren, är 0 för $x=2$, så gränsvärdet existerar inte.
5.4 d)
Sätt in $x=-1$.
5.4 e)
Här måste man förlänga med både
och
. Lite räknande ger
Gränsvärdet då $x\to 0$ är således $-2/2=-1$.
5.4 f)
Förkorta med $x^3$ och använd att $x^{-1}\ln x\to 0$ då $x\to\infty$.
5.5. a)
Vi har $\arctan t\to±\pi/2$ då $t\to±\infty$ och $\arctan 0=0$, så gränsvärdet är $(\pi/2-0)/(-\pi/2)=-1$.
5.5. b)
Skriv t ex
Här går täljaren mot 0 och nämnaren mot $\infty$ då $x\to\infty$, så gränsvärdet är 0.
5.5. c)
Förkortar man med $x^3e^{x}$ så får man
Nu gäller att $x^{-3}e^{-x}$ och $2x^{-2}e^{-2x}$ går mot 0 samt att $x^{-1}e^x$ går mot $\infty$ då $x\to\infty$, så gränsvärdet är 0.
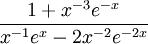
5.5. d)
5.5. e)
Förläng med $1+\cos x$:
Detta går mot $1^2\cdot (1/2)=1/2$ då $x\to 0$. Observera att det här betyder att $1-\cos x\approx x^2/2$ eller $\cos x\approx 1-x^2/2$ då $x$ är nära 0.
5.5. f)
Jämför med e).
5.6. a)
5.6. b)
5.6. c)
Sätt $t=x-1$ så att $t\to 0$ då $x\to 1$. Vi får
5.6. d)
\
5.7. a)
$\ln 1=0$
5.7. b)
Förkortning med $x-2$ ger
5.7. c)
5.7. d)
Detta går mot $\ln 1=0$ då $x\to-\infty$.
5.7. e)
Täljaren går mot $\pi/2$, så gränsvärdet är 0.
5.7. f)
Till att börja med har vi
så vi skall undersöka $(x-\pi)\cos^2x/\sin x$ då $x\to \pi$. Faktorn $\cos^2x$ går mot $\cos^2\pi=(-1)^2=1$. Sätt $t=x-\pi$ så att $t\to 0$ då $x\to \pi$. Vi har $\sin x=\sin (t+\pi)=-\sin t$, så $(x-\pi)/\sin x=t/(-\sin t)\to -1$ då $t\to 0$. Gränsvärdet är således $-1$.
5.16. a)
Eftersom $2^n/3^n=(2/3)^n$ och $-1<2/3<1$ så är gränsvärdet 0.
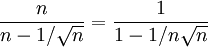
5.16. b)
Omskrivningen
visar att gränsvärdet är $1/(1-0)=1$.
5.16. e)
Använd att $\lim_{n\to\infty}(1+x/n)^n=e^x$.
5.16. f)
Observera att $(1+2/n)^{3n}=((1+2/n)^n)^3$. Gränsvärdet blir $(e^2)^3=e^6$.

