Lösningar 14
Matematik för naturvetare 15hp
[redigera] Lösningar till några övningar till lektion 14
6.14.
6.15.
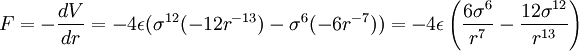
Med $V=V(r)=4\epsilon (\sigma^{12}r^{-12}-\sigma^6r^{-6})$ får vi
När $F=0$ så måste parentesen vara 0, vilket ger
Villkoret är alltså $r=2^{1/6} \sigma$.
6.16.
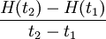
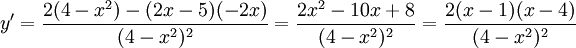
Medelhastigheten för tillväxten mellan tidpunkterna $t_{1}$ och $t_{2}$ är
Medelhastigheten mellan 4:e och 6:e veckan blir
Tillväxthastigheten när vecka 5 börjar är $H'(5)=5/2+1=3,5$ mm per
vecka. Att värdena blir desamma beror på att tangenten i $t=5$ är
parallell med linjen genom $(4,H(4))$ och $(6,H(6))$.
6.18.
Löser vi ut $T$ så får vi $T(V)=kV^{-0,4}$ och alltså $T'(V)=-0,4kV^{-1,4}$. Alltså är
Ett annat sätt är att först logaritmera sambandet: $\ln T=\ln k - 0,4\ln V$,
och sedan derivera:
Detta ger efter omskrivning $VT'(V)/T=-0,4$.
6.19.
Om $f(x_{0})=5$ så är $(f^{-1})'(5)=1/f'(x_{0})$. Vi måste alltså lösa ekvationen $f(x_{0})=3-2x^5=5$. Vi får $x_{0}=-1$ och alltså $(f^{-1})'(5)=1/(-2\cdot 5(-1)^4)=-1/10$.
6.20.
Som i förra uppgiften måste vi lösa $f(x_{0})=3$. Vi får $x_{0}=5$ och eftersom
så får vi $(f^{-1})'(3)=1/f'(5)=-(5-2)^2/6=-3/2$.
6.24.
Derivering av sambandet $x^2-y^2=8$ ger $2x-2yy'=0$, varav $y'=x/y$. Alltså är $y'(3)=3/1=3$. Tangentens ekvation är $y-1=3(x-3)$ eller $y=3x-8$.
6.27.b)
Om funktionen betecknas med $f$ så är
ln | f(x) | = 2ln | sinx | + 3ln | cosx | − ln | sin3x | − 2ln | cos2x |
och deriverar vi detta så får vi
Multiplikation av båda leden med $f(x)$ ger resultatet.
6.27.c)
Om $f(x)=x^3e^{\sin x}$ så är $\ln|f(x)|=3\ln |x|+\sin x$, så
6.27.d)
Med $f(x)=x^{\cos x}$ så är $\ln|f(x)|=\cos x\ln|x|$, alltså
7.1, 7.2.a)
Derivatan är $y'=3x^2-12x+9=3(x^2-4x+3)$ med nollställena $x=2±\sqrt{2^2-3}=2±1$, alltså 1 och 3. Enligt faktorsatsen är $y'=3(x-1)(x-3)$. Vi gör ett teckenschema:
(Det är ju egentligen onödigt att ta med faktorn 3 i schemat, eftersom
den är positiv överallt och därför inte kan påverka tecknet. Hade det
i stället stått t ex $-3$, så hade det varit nödvändigt att ta med
den i schemat.)
7.2.c)
Skriver vi $y=1+1/x$ så ser vi genast att funktionen är avtagande överallt där den är definierad, dvs för $x\not=0$. Derivatan är $y'=-1/x^2$, som ju mycket riktigt är $<0$ för alla $x\not=0$.
7.2.e)
Derivatan är $y'=2/x-2x=2(1-x^2)/x=-2(x+1)(x-1)/x$. Funktionen är definierad bara för $x>0$ och i det området är $(x+1)/x>0$. Teckenschemat blir alltså ganska enkelt:
7.2.g)
Derivatan är
y' = ex(x2 − 2x + 2) + ex(2x − 2) = x2ex
som är $>0$ för $x\not =0$ och 0 för $x=0$. Alltså är funktionen
strängt avtagande och $x=0$ en terrasspunkt.
7.4.a)
Derivatan är $y'=8x^3+1$ som har ett nollställe $x=-1/2$. Enligt faktorsatsen är $8x^3+1$ delbart med $x-(-1/2)=x+1/2$, dvs även med $2x+1$ och utför vi divisionen så får vi $y'=(2x+1)(4x^2-2x+1)$. Den andra faktorn är $>0$ för alla $x$, så $y'<0$ för $x<-1/2$ och $y'>0$ för $x>-1/2$. Alltså är $x=-1/2$ ett lokalt minimum och vi har $y(-1/2)=-19/8$.
7.4.d)
Derivatan är $y'=4-4x-3x^2$ med nollställena $x=-2$ och $x=2/3$. Alltså är $y'=(-3)(x^2+4x/3-4/3)=(-3)(x-(-2))(x-2/3)=(-3)(x+2)(x-2/3)$. Teckenschemat se ut så här:
7.5.b)
En funktion $f(x)=g(x)^2$ som är kvadraten på en annan funktion kan man derivera antingen genom att använda produktregeln eller genom att använda kedjeregeln. Det första sättet ger $f'(x)=g'(x)g(x)+g(x)g'(x)=2g'(x)g(x)$ och det andra $f'(x)=2g(x)\cdot g'(x)$ eftersom den inre derivatan är $g'(x)$. Med $g(x)=\sin x$ ger detta $f'(x)=2\sin x\cos x=\sin 2x$. Lösningarna till ekvationen $\sin 2x=0$ är $2x=n\pi$, dvs $x=n\pi/2$, där $n=0,±1,±2,\ldots$. Teckenväxlingen är $-0+$ när $n$ är jämnt och $+0-$ då $n$ är udda. För $n=2m$, dvs $x=m\pi$, har vi således lokala minima och för $n=2m+1$, dvs $x=\pi/2+m\pi$, har vi lokala maxima.
7.5.d)
Derivatan är $y'=(e^x-e^{-x})/2$ som har ett enda nollställe $x=0$. Teckenväxligen är $-0+$, varför detta är ett lokalt minimum.
7.7.a)
Vi börjar med att undersöka funktionens nollställen och tecken (sådan information är alltid användbar när man skall rita grafer). Vi har förstås $y=0$ för $x=0$ och $x=-1$. Eftersom $y=x(x+1)$ så får vi teckenschemat
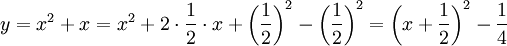
Vi har $y=x^2+x=x^2(1+1/x)$, vilket visar att $y\to\infty$ då
$x\to±\infty$. Derivatan är $y'=2x+1$ som är 0 för $x=-1/2$.
Teckenväxlingen är $-0+$, så funktionen har ett lokalt minimum där.
Inga asymptoter finns.
Anmärkning: Ett annat sätt är förstås att kvadratkomplettera, vilket
ger
Här ser vi direkt att $y$ har ett lokalt minimum för $x=-1/2$ och
värdet är $-1/4$.
7.7.c)
Lägg först märke till att funktionen inte är definierad för $x=-2$. Vi har $y\to 0$ då $x\to\infty$, så $x$-axeln är en vågrät asymptot. Vidare gäller $y\to±\infty$ då $x\to -2_{±}$, så linjen $x=-2$ är en lodrät asymptot. Derivatan är $y'=-1/(x+2)^2$, som är $<0$ för $x\not=0$. Några lokala extremvärden finns alltså inte. Funktionen har inga nollställen och vi har $y<0$ för $x<-2$ och $y>0$ för $x>-2$.
7.7.d)
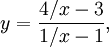
Funktionen har ett enda nollställe $x=0$. Nämnaren är 0 för $x=1$ och där är funktionen således inte definierad. Vi har $x^3-1=(x-1)(x^2+x+1)$, där polynomet $x^2+x+1=(x+1/2)^2+3/4$ är positivt för alla $x$. Alltså är $y<0$ då $x<1$ och $y>0$ då $x>1$. Omskrivningen
visar att $y\to 0$ då $x\to±\infty$, varför $x$-axeln är en vågrät asymptot.
Linjen $x=1$ är en lodrät asymptot eftersom $y\to±\infty$ då $x\to
1_{±}$. Vi deriverar:
Derivatans nollställen är alltså 0 och $-\root3\of 2$.
Nämnaren är $\ge 0$ för alla $x$, så den behöver vi inte ta med i
teckenschemat:
Eventuellt kan man ta med punkten $x=1$ i teckenschemat, som en
påminnelse om att funktionen inte är definierad där.
7.7.f)
Funktionen är inte definierad för $x=1$ och har ett enda nollställe $x=4/3$. Teckenschema för funktionen:
Vi har $y\to\infty$ då $x\to 1_{-}$ och $y\to-\infty$ då $x\to
1_{+}$, så linjen $x=1$ är en lodrät asymptot. Förkortar vi uttrycket
för $y$ med $x$ så får vi
som går mot $(-3)/(-1)=3$ då $x\to±\infty$. Linjen $y=3$ är således en
vågrät asymptot. Derivatan är
som saknar nollställen. Funktionen har därför inga lokala
extremvärden.
Anmärkning: Man kan se allt det här även genom att göra
en liten omskrivning:
Grafen till $y=1/(x-1)$ får man genom att skjuta grafen till $y=1/x$
ett steg åt höger och grafen till $y=-1/(x-1)$ får man sedan genom att
spegla i $y$-axeln. Grafen till $y=3-1(x-1)$ får man till sist genom
att förskjuta 3 steg uppåt längs $y$-axeln.
7.7.g)
Eftersom $4-x^2=(2-x)(2+x)$ så är funktionen inte definierad för $x=±2$. Den har ett enda nollställe för $x=5/2$. Vi börjar med att göra ett teckenschema för $y=-(2x-5)/(x+2)(x-2)$:
Eftersom täljaren har lägre grad än nämnaren, så gäller $y\to 0$ då
$x\to±\infty$. Alltså är $x$-axeln en vågrät asymptot. Lodräta
asymptoter är linjerna $x=±2$ eftersom $y\to\infty$ då $x\to -2_{-}$
och då $x\to 2_{+}$ och $y\to -\infty$ då $x\to -2_{+}$ och då $x\to 2_{-}$.
Derivatan är
som har nollställena $x=1$ och $x=4$. Nämnaren är $\ge 0$ för alla $x$
och man behöver därför inte ta med den i teckenschemat, men man måste
ha i minnet att varken funktionen eller derivatan är definierad för
$x=±2$.

