Lösningar 15
Matematik för naturvetare 15hp
[redigera] Lösningar till några övningar till lektion 15
7.8.
Derivatan av $v(r)=K(Rr^2-r^3)$ är
v'(r) = K(2Rr − 3r2) = Kr(2R − 3r)
som har två nollställen $r=0$ och $r=2R/3$. Teckenväxlingen vid det
senare är $+0-$ och det är alltså ett lokalt maximum. Vi har $v(0)=v(R)=0$,
$v(2R/3)=4KR^3/27$, så det största värdet är $4KR^3/27$.
7.9.
Figuren nedan föreställer ett tvärsnitt genom sfären och cylindern. Enligt Pythagoras sats gäller sambandet $r^2+(h/2)^2=R^2$ mellan radien $r$ och höjden $h$ i cylindern. Dess volym är
Derivatan är
V'(h) = π(R2 − 3h2 / 4)
med ett positivt nollställe $h=2R/\sqrt 3$. Eftersom $V(0)=V(2R)=0$ så
måste detta vara ett lokalt maximum och ge $V$:s största värde. Det
blir
7.10.
Självklart kan man derivera osv, men det är mer upplysande att kvadratkomplettera:
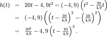
Här ser vi att $h$:s största värde är $100/4,9\approx 20,4$ meter och
att det antas vid tiden $t=10/4,9\approx 2$ sekunder.
7.11.a)
Gränsvärdet
är derivatan av $y=x^4$ för $x=1$, dvs $4\cdot 1^3=4$. Det sökta gränsvärdet är således $1/4$.
7.11.b)
7.11.c)
Eftersom nämnaren är $\not=0$ för $x=0$ så kan man helt enkelt sätta in $x=0$. Gränsvärdet är således $(0-1)/1=-1$.
7.11.d)
Sätt $x=\tan t$, alltså $t=\arctan x$. När $x\to 0$ så har vi $t\to 0$, så
eftersom $\lim_{t\to 0}((\sin t)/t)=1$. Man kan alternativt uppfatta gränsvärdet som derivatan av $\arctan x$ för $x=0$, dvs skriva
Gränsvärdet är alltså $1/(1+0^2)=1$.
7.11.e)
Det här gränsvärdet är kvadraten på det i d), dvs också 1.
7.11.f)
Sätt $t=x-\pi{}/2$, så att $t\to 0$ då $x\to \pi{}/2$. Vi har
cos(x − π) = cos(t + π / 2 − π) = cos(t − π / 2) = cos(π / 2 − t) = sint
så
7.12.
l'Hospital ger att gränsvärdet är lika med
Ett enklare sätt att beräkna det är att skriva det som
enligt standardgränsvärdena.
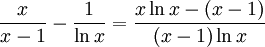
7.13.
Vi har
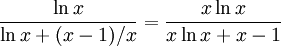
och när $x\to 1$ så går både täljare och nämnare mot 0, så vi kan använda l'Hospital. Derivatan av täljaren är $\ln x+1-1=\ln x$ och av nämmnaren $\ln x+(x-1)/x$. Vi har
och även här är täljare och nämnare 0 för $x=1$. Vi använder l'Hospital igen. Derivatan av täljaren är $\ln x+1$ och av nämnaren $\ln x+1+1=\ln x+2$. Gränsvärdet är alltså lika med
Har man läst om Maclaurinpolynom, så kan man beräkna gränsvärdet på ett annat sätt också. Sätter vi $t=x-1$ så är uttrycket lika med
Notera att $t\to 0$ då $x\to 1$. Enligt Taylors sats är $\ln(1+t)=t-t^2/2+t^3B(t)$, där $B$ är en funktion som är begränsad nära 0. Insättning och lite förenklingsarbete ger att det här är lika med
där även $B_{1}$ är begränsad nära 0. Gränsvärdet är således 1/2.
7.14.
Kvadratkomplettering ger
Det största värdet är alltså $U^2/4R$, vilket antas för $I=U/2R$.
7.15.
Här är det lämpligt att skriva om uttrycket för $H$ innan man börjar derivera. Sätt $x=e^{-0,1t}$. Då är
och alltså
Derivatan är
Nu är
alltså
Vi skall bestämma det värde på $t$ för vilket $H'(t)$ är störst och deriverar:
H'' har ett nollställe som ges av ekvationen $e^{-0,1t}=0,05$ och
teckenväxlingen är $+0-$, så detta är ett lokalt maximum, som också
måste vara $H'$:s största värde. Vi får $t=(\ln 0,05)/(-0,1)\approx
30$ dagar.
Eftersom $H'(t)>0$, så är $H(t)$ strängt växande och solrosens maximala höjd nås då $t\to\infty$. Den är $34/0,1=340$ cm.
8.2.
Om man byter $x$ mot $2x$ i Maclaurinserien för $e^x$ så får man
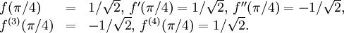
8.4.a)
Derivatorna är
och värdena för $x=\pi{}/4$
Taylorpolynomet är således
8.4.b)
Det är lätt att beräkna derivatorna om man skriver $\sqrt{1+x}=(1+x)^{1/2}$:
Alltså är
så att Taylorpolynomet är
8.5.a)
Maclaurinpolynomet är
så
8.5.c)
Maclaurinpolynomet är
så
8.9.
Eftersom nämnaren har grad 3, så försöker vi med att utvecka arctan och sin t o m ordning 3:
där $B$ och $C$ är begränsade nära 0. Alltså är
Eftersom $B-C$ är begränsad nära 0, så går $x^2(B(x)-C(x))$ mot 0 då
$x\to 0$, och gränsvärdet är därför $-4/3$.
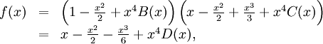
8.10.
Vi har för det första $f(x)=\cos x\cdot\ln(1+x)$ och för det andra
där $B,C$ är begränsade nära 0 (för att säkert få alla termer av
ordning $\le 3$ måste vi ta med alla termer av grad $\le 3$ i de två
inblandade funktionerna). Alltså är
där $D$ är en kombination av $B$ och $C$ och begränsad nära 0.
Tydligen är
Det går naturligtvis bra att derivera $f$ direkt också.
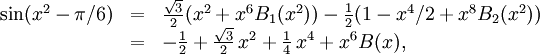
8.11.
Använd först additionsformeln:
Nu är ju
där $B_{1}$ och $B_{2}$ är begränsade nära 0. Alltså är
där $B(x)=(\sqrt 3/2)B_{1}(x)-(1/2)x^2B_{2}(x)$ är begränsad nära 0.
Maclaurinpolynomet med tre termer är således
Man skulle kanske gärna vilja använda Maclaurinserien för sinus i den här uppgiften, dvs i
ersätta $x$ med $x^2-\pi{}/6$, och det kan man göra, eftersom serien framställer $\sin x$ för alla $x$, men då måste man tänka noga på vad man gör. Vi får
och här måste vi utveckla alla $(x^2-\pi{}/6)^{2k+1}$ för att få Maclaurinserien. Problemet som uppstår är att {\it varje term} $(x^2-\pi{}/6)^{2k+1}$ ger bidrag till de tre första termerna (i själva verket till alla termer av grad $\le 2k+1$). Den konstanta termen blir
Enligt binomialsatsen är
där prickarna betyder termer av högre grad. Koefficienten för $x^2$-termen i Mac\-laurinserien är således
Bestäm nästa term själv!


