Lösningar 16
Matematik för naturvetare 15hp
[redigera] Lösningar till några övningar till lektion 16
ETT RÅD: Du kan alltid kontrollera svaret genom att derivera.
9.1.e)
Observera att $\sqrt x=x^{1/2}$.
9.1.f)
Skriv $3/x^3=3x^{-3}$.
9.1.g)
Multiplicera först ihop.
9.1.i)
Skriv $2/e^x=2e^{-x}$.
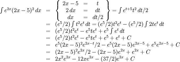
9.2.e)
Börja med att utveckla kvadraten.
9.2.f)
Gå över till den naturliga exponentialfunktionen: $2^x=(e^{\ln 2})^x=e^{x\ln 2}$.
9.2.g)
$(1+e^{-2x})e^{2x}=e^{2x}+1$
9.2.h)
9.2.i)
Man kan först förenkla något:
De primitiva funktionerna är således
9.2.j)
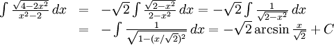
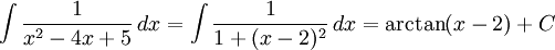
9.2.k)
Funktionen är lika med $1/(2x^2+1)$.
9.3.a)
9.3.b)
9.3.c)
9.3.d)
Alltså är
och
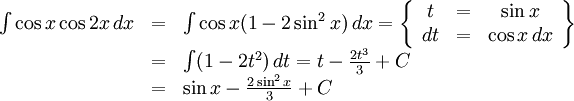
9.3.e)
Använd sambandet $\cos^2x=(1+\cos 2x)/2$:
Som en liten finess kan vi använda d) för att beräkna integralen:
Svaret är således
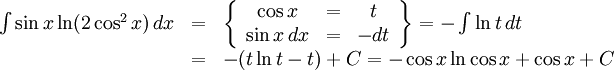
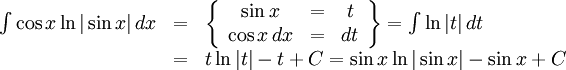
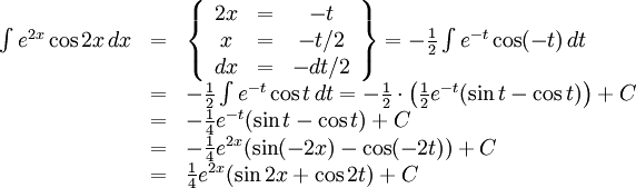
9.3.f)
Om vi sätter $f(x)=\ln x$, så är integranden $f'(x)f(x)$, vilket enligt kedjeregeln är derivatan av $(f(x))^2/2$. Svaret är således $(\ln x)^2/2+C$.
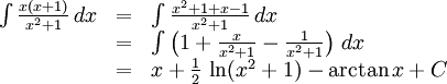
9.3.g)
9.4.f)
9.4.h)
9.4.i)
9.4.j)
9.4.k)
9.4.l)
Använd trigonometriska ettan.
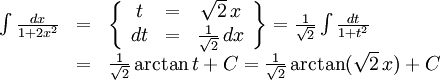
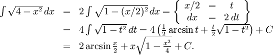
9.5.a)
Använder vi Exempel 9.26 så får vi
9.5.b)
Observera att $\sin(x/2)\ge 0$ då $x\in\left[0,2\pi\right]$, så att
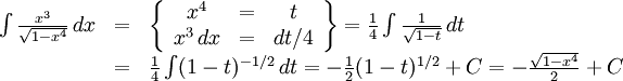
9.5.c)
9.5.d)
Integranden är $f(x)f'(x)$, där $f(x)=\arctan x$, som är derivatan av $(f(x))^2/2$. Svaret är således $(\arctan x)^2/2+C$.
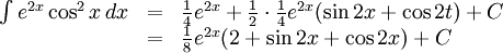
9.5.e)
9.5.f)
Ett annat sätt är att använda additionsformeln för cosinus:
cos(u + v) + cos(u − v) = 2cosucosv,
som ger
och alltså
Verifiera gärna att de två svaren är lika.
9.5.g)
Eftersom $1+\tan^2x=1/\cos^2x$, så är
Den första integralen är $-(\ln 2)\cos x+C$ och den andra
Svaret är således
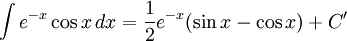
9.5.h)
Sätt $t=x^2$.
9.5.i)
Sätt $t=x^3$.
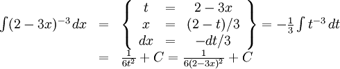
9.6.c)
9.6.d)
Sätt $t=\cos x$.
9.6.e)
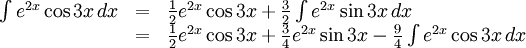
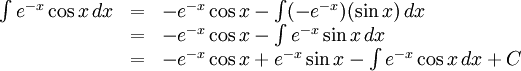
Partialintegrera två gånger:
(Lägg märke till att de primitiva funktionerna i första och sista
ledet inte behöver vara lika.)
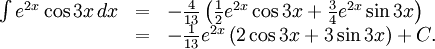
Löser man ut $\int e^{2x}\cos 3x\, dx$ så får man
9.6.f)
9.8.
I intervallet $0\le t\le 5$ är $V'(t)\ge 0$, så den maximala volymen fås för $t=5$. Vi har
och eftersom $V(0)=0,5$ så måste $C=0,5$. Den maximala volymen är
således
9.9.
Vi studerar först derivatans nollställen och teckenväxlingarna. Vi har $P_{d}'(t)=0\Leftrightarrow 1664-144t-t^3=0$. För att hitta rötterna till tredjegradsekvationen gissar vi heltalsrötter. En heltalsrot måste dela 1664 och man hittar roten $t=8$. Då är $t-8$ en faktor i $1664-144t-t^3$ och division ger $1664-144t-t^3=(8-t)(t^2+8t+208)$. Den andra faktorn har inga nollställen. Vi har alltså
och teckenväxlingen vid 8 är $+0-$, vilket visar att 8 är ett lokalt
maximum. Syrekoncentrationen är alltså störst 8 timmar efter gryningen.
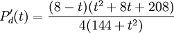
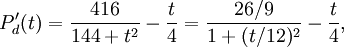
Vi ska nu bestämma funktionen $P_{d}$. Division ger
vilket ger
Det minsta värdet av $P_{d}$ antas antingen för $t=0$ eller för
$t=12$ (eftersom det finns exakt ett lokalt maximum). Nu är
vilket är $>P_{d}(0)=C$. Det minsta värdet är tydligen $C$, dvs
$C=13$. Då $0\le t\le 12$ är således
För $12\le t\le 24$ avtar $P_{d}$ linjärt på så sätt att
$P_{d}(12)=26\pi/3-5$ och $P_{d}(24)=P_{d}(0)=13$. Detta ger

