Lösningar 17
Matematik för naturvetare 15hp
[redigera] Lösningar till några övningar till lektion 17
10.3.a)
10.3.b)
10.3.c)
10.3.d)
10.3.e)
10.3.f)
10.4.a)
10.4.b)
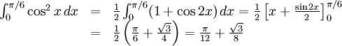
Enligt en formel för halva vinkeln är $\cos^2x=(1+\cos 2x)/2$, så
10.4.c)
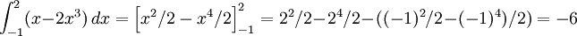
10.4.d)
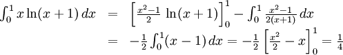
Partialintegrera och välj $(x^2-1)/2$ som primitiv funktion till $x$:
10.4.e)
10.4.f)
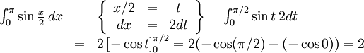
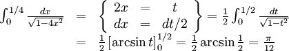
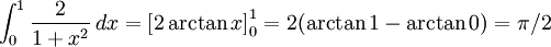
10.6.a)
10.6.b)
Integralen är 0 eftersom undre och övre gränsen är lika.
10.6.c)
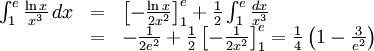
10.6.f)
10.6.g)
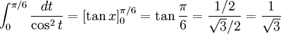
Här måste man komma ihåg att $1/\cos^2t$ är derivatan av $\tan t$, så att
10.6.h)
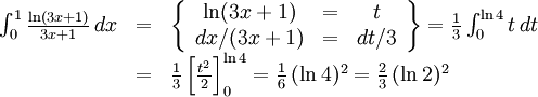
10.7.a)
10.7.b)
10.7.c)
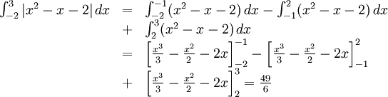
10.7.d)
Här måste man först undersöka vad $x^2-x-2$ har för tecken i olika intervall. Man kan nämligen inte s a s integrera under absolutbeloppet, det fungerar inte på samma sätt som en parentes. Nu har vi $x^2-x-2=(x-2)(x+1)$ med teckenschemat
Alltså är $|x^2-x-2|=x^2-x-2$ då $x\le -1$ och då $x\ge 2$ och
$|x^2-x-2|=-(x^2-x-2)$ då $-1\le x\le 2$. Detta ger
10.7.e)
10.7.f)
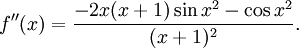
10.8.
Vi har ju (enligt huvudsatsen)
så
Alltså är f''(0) = − cos0 = − 1.
10.9.
Derivatan är $f'(x)=(x^2-1)e^x=(x+1)(x-1)e^x$ med nollställen $±1$. Teckenschemat är
(lägg märke till att faktorn $e^x$ inte påverkar tecknet). Alltså
är $-1$ ett lokalt maximum och 1 ett lokalt minimum. Värdena är
$f(1)=0$ och
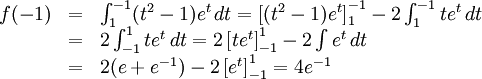
10.10.
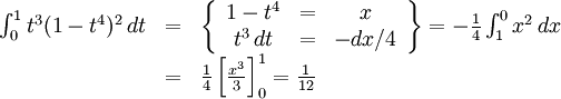
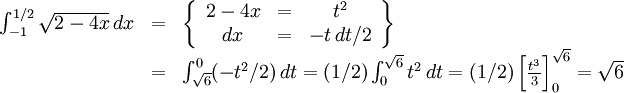
Gör substitutionen $x/a=t$, $dx=a\, dt$. Integralen blir
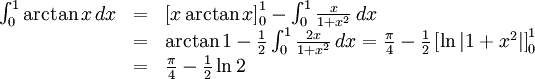
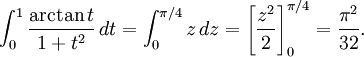
Gör substitutionen $z=\arctan t$, $dz=dt/(1+t^2)$. Då får vi
Svaret är alltså att $a=\pi{}^2/32$.
10.12.a)
Arean är
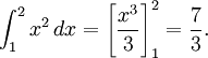
10.12.b)
Arean är
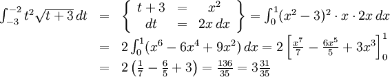
10.12.c)
Kurvan $y=e^x$ skär linjen $y=2$ för $x=\ln 2$. Arean är således
10.12.d)
Kurvan $y=x^2-2x-3$ skär $x$-axeln för $x=1±\sqrt{1+3}=1±2$, alltså för $x=-1$ och $x=3$. Arean är

