Lösningar 18
Matematik för naturvetare 15hp
[redigera] Lösningar till några övningar till lektion 18
10.5.a)
10.5.b)
Här måste vi dela upp integrationsintervallet:
Substitutionen $s=-t$ ger
vilket visar att integralen är 0.
10.5.c)
Alltså är
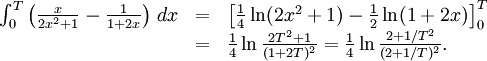
10.5.d)
10.5.e)
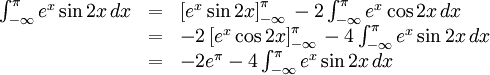
10.5.f)
10.6.d)
Till att börja med är
När $T\to\infty$ så går detta mot
som alltså är den generaliserade integralens värde.
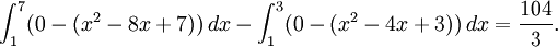
10.14)
Kvadratkomplettering ger
och med hjälp av detta kan man lätt skissa graferna:
Grafen till $y=x^2-4x+3$ skär $x$-axeln i 1 och 3 medan grafen till $y=x^2-8x+7$ skär axeln i 1 och 7. Den sökta arean är således
10.18)
Omskrivningen
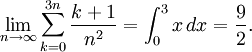
visar att summan är en Riemannsumma för $f(x)=x$ från $x=0$ till $x=3$ plus en term $(3n+1)/n^2$. Den extra termen går mot 0 då $n\to\infty$, så gränsvärdet är
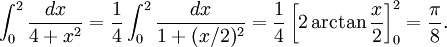
10.19)
Om man skriver
så ser man att summan är en Riemannsumma för $f(x)=1/(4+x^2)$ från $x=0$ till $x=2$, varför gränsvärdet är
10.20)
Tangentens lutning är $k=3(-2)^2+6(-2)-4=-4$, så dess ekvation är
Vi måste hitta skärningspunkterna mellan tangenten och kurvan, dvs lösningarna till ekvationen
$x^3+3x^2-4x=-4x+4$. Hyfsning ger $x^3+3x^2-4=0$. Nu är det ju faktiskt så att vi vet en rot, nämligen $x=-2$ och faktorisering ger $(x+2)(x^2+x-2)=0$. Rötterna till andragradspolynomet är 1 och $-2$, så skärningspunkterna är $x=-2$ och $x=1$. (Det är inte en slump att $-2$ är en dubbelrot, utan det beror på att linjen $y=-4x+4$ är tangent till kurvan. Detta behöver vi dock inte bekymra oss om här.) Frågan är nu om kurvan ligger över eller under tangenten mellan $-2$ och 1. Eftersom $0^3+3\cdot 0^2-4\cdot 0=0$ och $-4\cdot 0+4=4$, så ligger tangenten över kurvan. Den sökta arean är
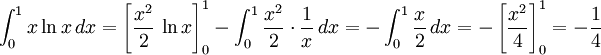
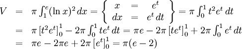
12.1.a)
12.1.b)
12.1.c)
12.1.d)
12.2)
Grafen skär $y$-axeln för $x=0$, vilket ger $y=5$. Radien i en skiva på höjden $y$ är $x=5/y-1$ och dess area är $\pi{}y^2=\pi{}(5/y-1)^2$. Volymen av en skiva med tjocklek $dy$ är alltså $\pi{}y^2\, dy=\pi{}(5/y-1)^2\, dy$ så volymen av kroppen är
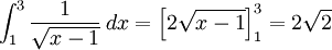
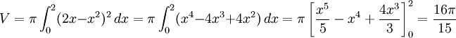
12.4)
12.7)
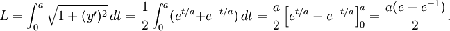
Till att börja med har vi
så
Kurvans längd är således
12.13)
Antalet dödsfall är ungefär
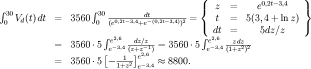
12.15)
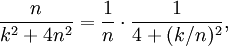
Mer allmänt betraktar vi $N$ bin som samlas tätt i ett klot med radie $R$. Klotets volym är $V=4\pi{}R^3/3$. Ett tunt sfäriskt skal med radie $r$ och tjocklek $dr$ har volym $4\pi{}r^2\, dr$ (eftersom arean är $4\pi{}r^2$), så antalet bin i skalet är
och deras sammanlagda avstånd till medelpunkten får vi genom att multiplicera med $r$. Det blir
Binas medelavstånd blir


