Lösningar 19
Matematik för naturvetare 15hp
[redigera] Lösningar till några övningar till lektion 19
11.1.
Att bestämma partialbråksuppdelningar utan ansats är förstås tramsigt eftersom man i praktiken alltid använder olika ansatser. Lös därför övningen hur du vill!
11.1.a)
11.1.b)
11.1.c)
11.2.a.
11.2.b)
11.2.c)
11.6.a.
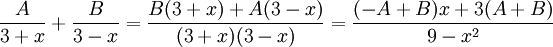
Vi har $9-x^2=(3+x)(3-x)$ så uppdelningen har utseendet
Vi gör liknämnigt:
Detta ger ekvationssystemet
som har lösningen $A=B=1/2$. Partialbråksuppdelningen är således
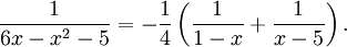
11.6.b)
Vi faktoriserar nämnaren genom att bestämma dess nollställen:
Nollställena är $x=1$ och $x=5$, så
6x − x2 − 5 = − (x − 1)(x − 5) = (1 − x)(x − 5).
Partialbråksuppdelningen har utseendet
och gör vi liknämnigt så får vi
Alltså måste
Detta ger
11.6.c)
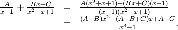
Nämnaren har faktoriseringen $x^3-1=(x-1)(x^2+x+1)$, där andragradsfaktorn inte har några reella nollställen (och således inte går att faktorisera vidare). Partialbråksuppdelningen har utseendet
Vi gör liknämnigt i HL:
Detta ger ekvationsystemet
och vi får till sist
11.7.a)
11.7.b)
11.7.c)
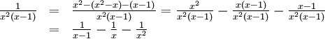
Vi skriver den andra termen i parentesen som
Här har den första termen utseendet $f'(x)/f(x)$, där $f(x)=x^2+x+1$.
En primitiv funktion är således $\ln|f(x)|=\ln(x^2+x+1)$ (observera
att $x^2+x+1>0$ för alla $x$). För att integrera den andra termen
kvadratkompletterar vi nämnaren:
Alltså är
De primitiva funktionerna till $1/(x^3-1)$ är således
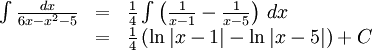
11.9.b.
Partialbråksuppdela:
Detta ger $A+B=1$, $2A=3$, alltså $A=3/2$, $B=-1/2$. Alltså
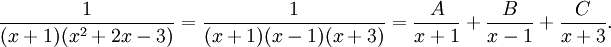
11.9.d)
Den andra faktorn kan faktoriseras: $x^2+2x-3=(x-1)(x+3)$. Partialbråksuppdelning:
Ekvationsystemet blir
Alltså
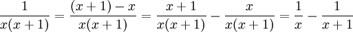
Vi har
så
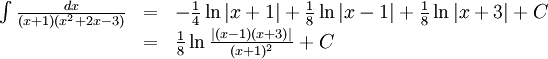
11.9.e)
Här är partialbråksuppdelningen
och integralen blir
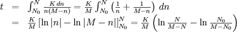
11.10.
Partialbråksuppdelning ger
Detta ger i sin tur
För att kunna se vad som händer då $t\to\infty$ förkortar vi med
$e^{Mt/K}$:
Eftersom $e^{-Mt/K}\to 0$ då $t\to\infty$, så får vi

