Lösningar 21
Matematik för naturvetare 15hp
[redigera] Lösningar till några övningar till lektion 21
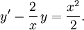
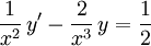
13.12.
Skriv ekvationen som
En primitiv funktion till $-2/x$ är $-2\ln x$ (observera att $x>0$), så en integrerande faktor är $e^{-2\ln x}=x^{-2}=1/x^2$. Multiplicerar vi med den så får vi
som kan skrivas
Alltså är
där $C$ är en konstant,
eller
Villkoret $y(1)=0$ ger $-1/2+C=0$, dvs $C=1/2$, så den sökta lösningen är
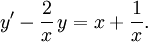
13.13.
Ekvationen kan skrivas
En primitiv funktion till $-2/x$ är $-2\ln x$ (ty $x>0$), så en integrerande faktor är $e^{-2\ln x}=1/x^2$. Multiplicerar vi med den så får vi
som kan skrivas
Alltså är
där $C$ är en konstant,
eller
Villkoret $y(1)=0$ ger $1/2+C=0$, så $C=-1/2$ och den sökta lösningen är
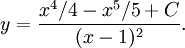
13.15.
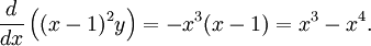
Vi skriver ekvationen som
En primitiv funktion till $2/(x-1)$ är $2\ln(x-1)$ (observera att $x>1$), så en integrerande faktor är $e^{2\ln(x-1)}=(x-1)^2$. Multiplicerar vi med den så får vi (x − 1)2y' + 2(x − 1)y = − x3(x − 1),
som kan skrivas
Alltså är
där $C$ är en konstant,
varav
13.17.
Vi skriver ekvationen som
och måste hitta en primitiv funktion till $-2\cos x/\sin x$. En substitution löser problemet:
Vi väljer den primitiva funktionen $-2\ln|\sin x|$ och får den integrerande faktorn
Multiplicerar vi med den så får vi
som kan skrivas
Med samma substitution som nyss så får vi att $-1/(2\sin^2x+C)$ är de primitiva funktionerna till HL, varför
13.19.
Beteckna klorhalten vid tiden $t$ dygn med $y(t)$ (mätt som liter klor per liter klorhaltigt vatten i cisternen). Mellan tidpunkterna $t$ och $t+\Delta t$ läcker $300\Delta t$ liter klorhaltigt vatten. Om $\Delta t$ är litet, så är $y(t)$ nästan konstant under tiden och mängden klor i läckagevattnet är ungefär $300y(t)\Delta t$ liter, så
vilket ger
Låter vi $\Delta t\to 0$ så får vi DE:n $y'(t)=-0,001y(t)$, som har lösningen $y(t)=Ce^{-0,001t}$. Då $t=0$ är klorhalten $y(0)=C=1/300000$, så
Beteckna tidpunkten då halten är 1 ppm med $T$. Då får vi ekvationen
som ger
13.40.a.
DE:n är
13.40.b.
DE:n har separabla variabler:
Vi skriver om den som
och måste hitta en primitiv funktion till den rationella funktionen i VL. Det råkar vara ganska enkelt:
Alltså är
Vi har $p(0)=10000$, så $C=1/(10000-50)$, varav
(Här är det fel i bokens facit; 2000 i täljaren måste vara 10000, annars stämmer inte antalet fiskar vid $t=0$.) När $t\to\infty$ så går detta mot 50.

