Lösningar 16
Matematik för naturvetare 15hp
| Versionen från 16 oktober 2007 kl. 13.59 (redigera) Clas Löfwall (Diskussion | bidrag) ← Gå till föregående ändring |
Versionen från 16 oktober 2007 kl. 14.02 (redigera) (ogör) Clas Löfwall (Diskussion | bidrag) Gå till nästa ändring → |
||
| Rad 68: | Rad 68: | ||
| <math> | <math> | ||
| - | \sin\left(\frac{¹x}{4}-\frac{¹}{2}\right)= | + | \sin\left(\frac{\pi x}{4}-\frac{\pi}{2}\right)= |
| - | -\sin\left(\frac{¹}{2}-\frac{¹x}{4}\right)= | + | -\sin\left(\frac{\pi}{2}-\frac{\pi x}{4}\right)= |
| - | -\cos\frac{¹x}{4}</math> | + | -\cos\frac{\pi x}{4}</math> |
| De primitiva funktionerna är således | De primitiva funktionerna är således | ||
| Rad 88: | Rad 88: | ||
| -\frac{1}{3}\int | -\frac{1}{3}\int | ||
| \frac{dt}{t}\\ | \frac{dt}{t}\\ | ||
| - | &=&-\frac{1}{3}\ln|t|+C=-\frac{\ln|1-3x|}{3}+C\end{array} | + | &=&-\frac{1}{3}\ln|t|+C=-\frac{\ln|1-3x|}{3}+C\end{array}</math> |
Versionen från 16 oktober 2007 kl. 14.02
Lösningar till några övningar till lektion 16
ETT RÅD: Du kan alltid kontrollera svaret genom att derivera.
9.1.e)
Observera att $\sqrt x=x^{1/2}$.
9.1.f)
Skriv $3/x^3=3x^{-3}$.
9.1.g)
Multiplicera först ihop.
9.1.i)
Skriv $2/e^x=2e^{-x}$.
9.2.e)
Börja med att utveckla kvadraten.
9.2.f)
Gå över till den naturliga exponentialfunktionen: $2^x=(e^{\ln 2})^x=e^{x\ln 2}$.
9.2.g)
$(1+e^{-2x})e^{2x}=e^{2x}+1$
9.2.h)
9.2.i)
Man kan först förenkla något:
De primitiva funktionerna är således
9.2.j)
9.2.k)
Funktionen är lika med $1/(2x^2+1)$.
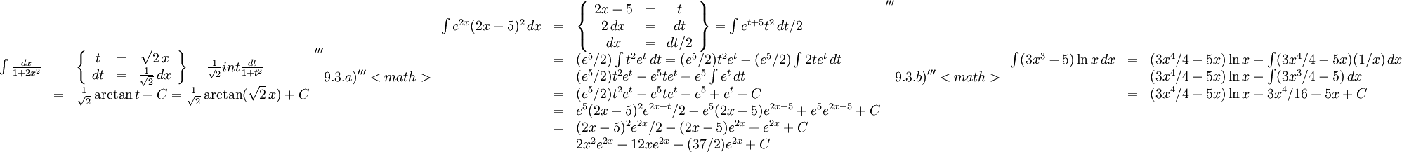
9.3.c)
9.3.d)
Alltså är
Misslyckades med att tolka formel. (okänt fel): 2\int e^{-x}\cos x\, dx=-e^{-x}\cos x+e^{-x}\sin x+C=e^{-x}(\sin x-\cos x)+C\] och \[ \int e^{-x}\cos x\, dx=\frac{1}{2}e^{-x}(\sin x-\cos x)+C'
9.3.e)
Använd sambandet $\cos^2x=(1+\cos 2x)/2$:
Som en liten finess kan vi använda d) för att beräkna integralen:
Svaret är således
f) Om vi sätter $f(x)=\ln x$, så är integranden $f'(x)f(x)$, vilket enligt kedjeregeln är derivatan av $(f(x))^2/2$. Svaret är således $(\ln x)^2/2+C$.
g)
9.4.f)
h)
i)
j)
k)
l) Använd trigonometriska ettan.
9.5.a) Använder vi Exempel 9.26 så får vi
b)
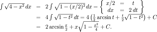
Observera att $\sin(x/2)\ge 0$ då $x\in\left[0,2¹\right]$, så att
c)
d) Integranden är $f(x)f'(x)$, där $f(x)=\arctan x$, som är derivatan av $(f(x))^2/2$. Svaret är således $(\arctan x)^2/2+C$.
e)
f)
Ett annat sätt är att använda additionsformeln för cosinus:
cos(u + v) + cos(u − v) = 2cosucosv,
som ger
och alltså
Verifiera gärna att de två svaren är lika.
g) Eftersom $1+\tan^2x=1/\cos^2x$, så är
Den första integralen är $-(\ln 2)\cos x+C$ och den andra
Svaret är således
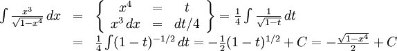
h) Sätt $t=x^2$.
i) Sätt $t=x^3$.
9.6.c)
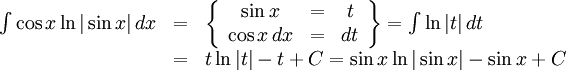
d) Sätt $t=\cos x$.
e) Partialintegrera två gånger:
(Lägg märke till att de primitiva funktionerna i första och sista
ledet inte behöver vara lika.)
Löser man ut $\int e^{2x}\cos 3x\, dx$ så får man
f)
9.8. I intervallet $0\le t\le 5$ är $V'(t)\ge 0$, så den maximala volymen fås för $t=5$. Vi har
och eftersom $V(0)=0,5$ så måste $C=0,5$. Den maximala volymen är
således
9.9. Vi studerar först derivatans nollställen och teckenväxlingarna. Vi har $P_{d}'(t)=0\Leftrightarrow 1664-144t-t^3=0$. För att hitta rötterna till tredjegradsekvationen gissar vi heltalsrötter. En heltalsrot måste dela 1664 och man hittar roten $t=8$. Då är $t-8$ en faktor i $1664-144t-t^3$ och division ger $1664-144t-t^3=(8-t)(t^2+8t+208)$. Den andra faktorn har inga nollställen. Vi har alltså
och teckenväxlingen vid 8 är $+0-$, vilket visar att 8 är ett lokalt
maximum. Syrekoncentrationen är alltså störst 8 timmar efter gryningen.
Vi ska nu bestämma funktionen $P_{d}$. Division ger
vilket ger
Det minsta värdet av $P_{d}$ antas antingen för $t=0$ eller för
$t=12$ (eftersom det finns exakt ett lokalt maximum). Nu är
vilket är $>P_{d}(0)=C$. Det minsta värdet är tydligen $C$, dvs
$C=13$. Då $0\le t\le 12$ är således
För $12\le t\le 24$ avtar $P_{d}$ linjärt på så sätt att
$P_{d}(12)=26¹/3-5$ och $P_{d}(24)=P_{d}(0)=13$. Detta ger

