Välkommen till kursen
Hur går kursen till?
Examinationen
1. Derivata
1.1 Inledning
1.2 Deriveringsregler
1.3 Max- och minproblem
2. Integraler
2.1 Inledning
2.2 Variabelsubstitution
2.3 Partiell integrering
3. Komplexa tal
3.1 Räkning
3.2 Polär form
3.3 Potenser och rötter
3.4 Komplexa polynom
Sök
Warning:
jsMath
requires JavaScript to process the mathematics on this page.
If your browser supports JavaScript, be sure it is enabled.
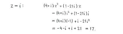
Lösning 3.3:5d
Förberedande kurs i matematik 2
Hoppa till:
navigering
,
sök