2.1 Övningar
Sommarmatte 2
Innehåll |
[redigera] Övning 2.1:1
Tolka integralerna som areor och bestäm deras värde
| a) | $\displaystyle\int_{-1}^{2} 2\, dx$ | b) | $\displaystyle\int_{0}^{1} (2x+1)\, dx$ |
| c) | $\displaystyle \int_{0}^{2} (3-2x)\, dx$ | d) | $\displaystyle\int_{-1}^{2}|x| \, dx$ |
Facit
Facit till alla delfrågor
| a) | $6$ | b) | $2$ |
| c) | $2$ | d) | $\displaystyle\frac{5}{2}$ |
[redigera] Övning 2.1:2
Beräkna integralerna
| a) | $\displaystyle\int_{0}^{2} (x^2+3x^3)\, dx$ | b) | $\displaystyle\int_{-1}^{2} (x-2)(x+1)\, dx$ |
| c) | $ \displaystyle\int_{4}^{9} \left(\sqrt{x} - \displaystyle\frac{1}{\sqrt{x}}\right)\, dx$ | d) | $\displaystyle\int_{1}^{4} \displaystyle\frac{\sqrt{x}}{x^2}\, dx$ |
Facit
Facit till alla delfrågor
| a) | $\displaystyle\frac{44}{3}$ | b) | $\displaystyle-\frac{9}{2}$ |
| c) | $\displaystyle\frac{32}{3}$ | d) | $1$ |
[redigera] Övning 2.1:3
Beräkna integralerna
| a) | $\displaystyle\int \sin x\, dx$ | b) | $\displaystyle\int 2\sin x \cos x\, dx$ |
| c) | $ \displaystyle\int e^{2x}(e^x+1)\, dx$ | d) | $\displaystyle\int \displaystyle\frac{x^2+1}{x}\, dx$ |
Facit
Facit till alla delfrågor
| a) | $-\cos x + C$ | b) | $\displaystyle-\frac{\cos 2x}{2}+C$ |
| c) | $\displaystyle\frac{e^{3x}}{3}+\frac{e^{2x}}{2}+C$ | d) | $\displaystyle\frac{x^2}{2}+\ln x + C$ |
[redigera] Övning 2.1:4
| a) | Beräkna arean mellan kurvan $y=\sin x$ och $x$-axeln när $0\le x \le \frac{5\pi}{4}$ |
| b) | Beräkna arean av det område under kurvan $y=-x^2+2x+2$ och ovanför $x$-axeln |
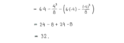
| c) | Beräkna arean av det ändliga området mellan kurvorna $y=\frac{1}{4}x^2+2$ och $y=8-\frac{1}{8}x^2$ (studentexamen 1965). |
| d) | Beräkna arean av det ändliga området som kurvorna $y=x+2, y=1$ och $y=\frac{1}{x}$ innesluter. |
| e) | Beräkna arean av området som ges av olikheterna $x^2\le y\le x+2$. |
Facit
Facit till alla delfrågor
| a) $3-\displaystyle\frac{1}{\sqrt2}$ a.e. |
| b) $\displaystyle 4.\sqrt{3}$ a.e. |
| c) $32$ a.e. |
| d) $\sqrt{2}-1-\ln(\sqrt{2}-1)\,$ a.e. |
| e) $\displaystyle\frac{9}{2}$ a.e. |
[redigera] Övning 2.1:5
Beräkna integralerna
| a) | $\displaystyle \int \displaystyle\frac{dx}{\sqrt{x+9}-\sqrt{x}}\quad$ (Ledning: förläng med nämnarens konjugat) |
| b) | $\displaystyle \int \sin^2 x\quad$ (Ledning: skriv om integranden med en trigonometrisk formel) |
Facit
Facit till alla delfrågor
| a) $\displaystyle\frac{2}{27}\left((x+9)\sqrt{x+9}+x\sqrt{x}\right)+C$ |
| b) $-\displaystyle\frac{\sin2x}{4}+\frac{x}{2}+C$ |






































