Exempellösningar
Envariabelanalys
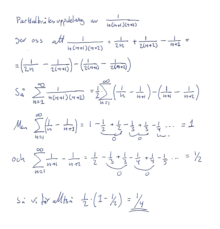
Som mentor/lärare så blir man ibland tvungen att lösa tal i kursboken, då flitiga elever frågar på dessa. Dessa lösningar är ju synd och skam att sitta och gömma, så här hamnar de.
Som mentor/lärare så blir man ibland tvungen att lösa tal i kursboken, då flitiga elever frågar på dessa. Dessa lösningar är ju synd och skam att sitta och gömma, så här hamnar de.